Why BMP and GSLs matter in cellular trafficking?
As experts in the field, you already appreciate the critical role lipids play in human pathologies. Today, we're excited to highlight some of our newest products that promise to energize your neurodegenerative disease research. We've significantly expanded our range of bis(monoacylglycerol)phosphate (BMP) and glycosphingolipids (GSL) to support your cutting-edge studies. These products are designed to enhance your development of biomarkers and treatments for neurodegenerative diseases such as Parkinson’s, Alzheimer’s, and more. We're excited to be your partner in pioneering advancements in this vital area of research. Keep reading to see how we can make a difference together!
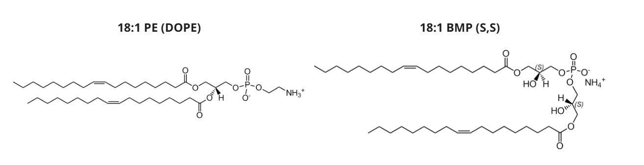
First, we want to introduce two lipid classes that we will be discussing throughout the blog:
Bis(monoacylglycerol)phosphates (BMPs)
BMP is a unique glycerophospholipid primarily found in the membranes of late endosomes and lysosomes. BMPs have a distinctive structure compared to other glycerophospholipids such as phosphatidylethanolamine, where BMPs have a phosphodiester linkage to the sn-1 and sn-1’ positions of glycerol.

Glycosphingolipids (GSLs)
Glycosphingolipids are formed through sequential addition of sugar moieties to sphingolipids such as sphingosine or ceramide. A subclass of glycosphingolipids, gangliosides contain multiple sialic acid residues giving them an overall negative charge and are heavily concentrated in the nervous system where they constitute ~6% of all lipids.

The importance of BMPs and GSLs in health and disease
Lipids make up more than half of the human brain mass as key components in cell membranes and critical participants in signaling and energy storage. It is no surprise then that lipids represent an incredible opportunity for potential biomarker development in neurodegenerative diseases.
But before lipids can be used as biomarkers to evaluate and monitor these pathologies, years of dedicated lipidomic analysis is required to determine which lipid classes and individual species are associated with certain metabolic processes. Lipidomics is one of the fastest-growing techniques in the field of biomarker discovery, and rapid technological advancements in mass-spectrometry based lipid analysis have been crucial to scratching the surface of the full potential that lipidomics represents. But not only does lipid analysis for biomarker discovery require advanced analytical technologies and instrumentation, but it also requires highly-pure, reliable standards – and that’s where Avanti ResearchTM can help take your research to the next level. We know that BMPs and GSLs are important lipid classes for neurobiology research, and we’ve been working hard to expand our selection of standards in these lipid classes to support your lipidomics research and open opportunities for future biomarker development and therapeutic discovery.
Neurodegenerative diseases where BMPs and GSLs may prove to be key biomarkers or therapeutic targets
- Lysosomal Storage Disorders
Lysosomes are biological hubs for lipid catabolism. They have an acidic environment that attracts and binds certain proteins and enzymes to their surfaces to aid in the degradation of lipids. BMP plays a key role in the breakdown process on the surface of lysosomes.
In Lysosomal Storage Disorders (LSDs), this breakdown process is impaired, leading to neurodegeneration and potentially premature death. It is hypothesized that cells may try to compensate for this impairment by overproducing BMP causing an increase in BMP levels, which makes BMP species attractive candidates for biomarkers of these types of disorders.
- Frontotemporal Dementia-GRN
Frontotemporal Dementia-GRN is a common type of dementia in populations under 60 and is caused by a loss of nerve cells in the brain’s frontal and temporal lobes. The acronym GRN is due to the condition being linked to mutations in the GRN gene which can reduce production of a protein called progranulin. Lack of progranulin results in lower levels of BMP in cells.
As we previously mentioned, BMP is very important for lysosomal function and without sufficient levels of BMP, lipid breakdown is impaired. Insufficient levels of BMP results in reduced enzymatic activity of B-glucosylceramidase (GCase) and results in accumulation of harmful lipid species such as gangliosides and downstream effects such as neuroinflammation. In the case of Frontotemporal Dementia-GRN, either BMP or ganglioside species could be used as biomarkers for diagnosis or even early detection.
- Parkinson’s Disease (PD)
I’m sure we are all familiar with PD and its symptoms, but you may not know that a key event in the pathology of PD is the clumping of the alpha-synuclein protein. How do these clumps form? The GBA1 gene produces an enzyme that we’ve already highlighted, GCase, which helps break down lipids. When the GBA1 gene is mutated, it impairs the production of GCase which causes a build up of lipids that interact with the alpha-synuclein protein. This creates a vicious cycle where the clumping of alpha-synuclein further reduces the GCase activity the condition continues to worsen.
Other studies have shown that a mutation in a different gene, LRRK2, is linked to PD. Mutation of LRRK2 results in higher BMP levels as well as changes in other lipids such as gangliosides GM1 and GD1a that could be linked to cognitive decline. These molecules could prove to be important biomarkers of PD.
- Alzheimer’s Disease (AD)
AD is the most common form of dementia and currently affects about 6 million people in the US alone. AD is characterized by the build-up of amyloid-beta peptides in the brain which binds to certain lipids like the ganglioside GM1. The binding of molecules such as GM1 causes a change in their structure and leads to amyloid fibril formation. The fibrils then trigger cell death and brain degeneration.
Studies have shown that early-stage AD patients have higher levels of certain lipids such as sphingomyelin in the cerebrospinal fluid (CSF). But collecting CSF is invasive and research has turned towards finding alternative biomarkers of AD in blood samples.
These aren’t the only examples of neurodegenerative diseases and lysosomal storage disorders that exhibit changes in the lipidome. Other examples of neurodegenerative diseases include amyotrophic lateral sclerosis and multiple sclerosis, and examples of lysosomal storage disorders include Tay-Sachs disease and Niemann-Pick disease.
Whatever you are studying, we want to be your go to partner for standards in your lipidomic analysis projects. Avanti Research’s selection of synthetic glycosphingolipids has recently expanded to include:
- 10 deuterium-labeled gangliosides/globosides – all with d18:1 sphingosine backbone and 18:0 fatty acid chain.
- 29 non-labeled gangliosides/globosides all with d18:1 sphingosine backbone but various 18:0 and 24:1 fatty acid chains.
- A number of new glucosyl-, galactosyl, and lactosyl-ceramides with various fatty acid chain lengths.
- Various isomers of 18:1 and 14:0 BMPs, as well as a deuterated 18:1 BMP-d5.
Reference: Wei, J.; Wong, L.C.; Boland, S. Lipids as Emerging Biomarkers in Neurodegenerative Diseases. Int. J. Mol. Sci. 2024, 25, 131. https://doi.org/10.3390/ijms25...;