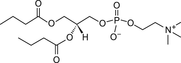
850303 | 04:0 PC
1,2-dibutyryl-sn-glycero-3-phosphocholine

Please Confirm Your Location
Effective March 1, 2018, Merck KGaA, Darmstadt, Germany* is the exclusive Distributor of Avanti Research. Research Products for all countries except the United States. For product pricing and order placement, please click on the appropriate Location Box below.
For customers located outside the United States, you will be redirected to www.sigmaaldrich.com/avanti prior to completing your purchase. Thank you for your continued business and support of Avanti Research!
*The life science business of Merck KGaA, Darmstadt, Germany operates as MilliporeSigma in the U.S. and Canada
04:0 PC
1,2-dibutyryl-sn-glycero-3-phosphocholine
The list of Phosphatidylcholine products offered by Avanti is designed to provide compounds having a variety of physical properties. Products available include short chain (C3-C8 are water soluble and hygroscopic), saturated, multi-unsaturated and mixed acid PC's. All of the products are purified by HPLC, and special precautions are taken to protect the products from oxidization and hydrolysis. Several of these products are manufactured under the current guidelines of Good Manufacturing Practice and are available for pharmaceutical use. If you have a requirement for a choline derivative not found on our list, please call us: custom synthesis is one of our specialties.
CAS Registry Number is a Registered Trademark of the American Chemical Society
G A Kullak-Ublick et. al. 1996. Expression of a rat liver phosphatidylcholine translocator in Xenopus laevis oocytes. Hepatology, 23(5), 1254-1259
PubMed ID: 8621161F Berr et. al. 1993. Evidence for the presence of a phosphatidylcholine translocator in isolated rat liver canalicular plasma membrane vesicles. Journal of Biological Chemistry, 268(6), 3976-3979
PubMed ID: 8440689A Plückthun and E A Dennis. 1982. Role of monomeric activators in cobra venom phospholipase A2 action. Biochemistry (Washington), 21(8), 1750-1756
PubMed ID: 7082644W Robert Bishop and Robert M Bell. 1985. Assembly of the endoplasmic reticulum phospholipid bilayer: the phosphatidylcholine transporter. Cell, 42(1), 51-60
PubMed ID: 3893747S Hrafnsdóttir and A K Menon. 2000. Reconstitution and partial characterization of phospholipid flippase activity from detergent extracts of the Bacillus subtilis cell membrane. Journal of Bacteriology, 182(15), 4198-4206
PubMed ID: 10894727D. Oh MK, Yang H, Roberts MF. 2003 Jul 30. Using O-(n-alkyl)-N-(N,N'-dimethylethyl)phosphoramidates to investigate the role of Ca2+ and interfacial binding in a bacterial phospholipase. Biochim Biophys Acta. 1649(2):146-53.
PubMed ID: 12878033Bukowski T, Teller DC. 1986 Dec 2. Self-association and active enzyme forms of Naja naja naja and Crotalus atrox phospholipase A2 studied by analytical ultracentrifugation. Biochemistry. 25(24):8024-33.
PubMed ID: 3801457Cornacchia L, Domdey H, Mössner J, Berr F. 1997 Feb 13. Expression of a non-MDR2-coded liver phosphatidylcholine membrane transport protein in Xenopus laevis oocytes. Biochem Biophys Res Commun. 231(2):277-82.
PubMed ID: 9070263- Certificate of Analysis (Lot No. 850303C-25MG-A-024 and 5626CJA024)
- Certificate of Analysis (Lot No. 850303C-500MG-A-025 and 5626CPA025)
- Certificate of Analysis (Lot No. 850303P-25MG-A-024 and 5626PJA024)
- Certificate of Analysis (Lot No. 850303P-500MG-A-025 and 5626PPA025)
- Certificate of Analysis (Lot No. 850303C-500MG-B-025 and 5626CPB025)
- Certificate of Analysis (Lot No. 850303P-25MG-B-024 and 5626PJB024)
- Certificate of Analysis (Lot No. 850303P-25MG-D-024 and 5626PJD024)
- Certificate of Analysis (Lot No. 850303P-25MG-A-025 and 5626PJA025)