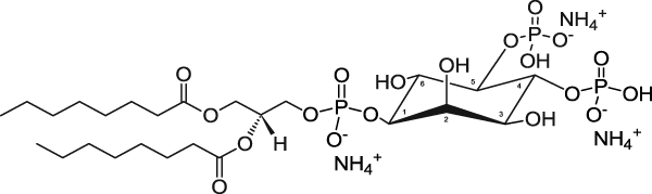
850185 | 08:0 PI(4,5)P2
1,2-dioctanoyl-sn-glycero-3-phospho-(1'-myo-inositol-4',5'-bisphosphate) (ammonium salt)

Please Confirm Your Location
Effective March 1, 2018, Merck KGaA, Darmstadt, Germany* is the exclusive Distributor of Avanti Research. Research Products for all countries except the United States. For product pricing and order placement, please click on the appropriate Location Box below.
For customers located outside the United States, you will be redirected to www.sigmaaldrich.com/avanti prior to completing your purchase. Thank you for your continued business and support of Avanti Research!
*The life science business of Merck KGaA, Darmstadt, Germany operates as MilliporeSigma in the U.S. and Canada
08:0 PI(4,5)P2
1,2-dioctanoyl-sn-glycero-3-phospho-(1'-myo-inositol-4',5'-bisphosphate) (ammonium salt)
CAS Registry Number is a Registered Trademark of the American Chemical Society
110665
Koizumi A, Narita S, Nakanishi H, Ishikawa M, Eguchi S, Kimura H, Takasuga S, Huang M, Inoue T, Sasaki J, Yoshioka T, Habuchi T, Sasaki T. Increased fatty acyl saturation of phosphatidylinositol phosphates in prostate cancer progression. Sci Rep. 2019 Sep 13;9(1):13257. doi: 10.1038/s41598-019-49744-3.
PubMed ID: 31520002Vivas O, Tiscione SA, Dixon RE, Ory DS, Dickson EJ. Niemann-Pick Type C Disease Reveals a Link between Lysosomal Cholesterol and PtdIns(4,5)P2 That Regulates Neuronal Excitability. Cell Rep. 2019 May 28;27(9):2636-2648.e4. doi: 10.1016/j.celrep.2019.04.099.
PubMed ID: 31141688Mercredi, P.Y., N. Bucca, B. Loeliger, C.R. Gaines, M. Mehta, P. Bhargava, P.R. Tedbury, L. Charlier, N. Floquet, D. Muriaux, C. Favard, C.R. Sanders, E.O. Freed, J. Marchant, and M.F. Summers. (2016). Structural and Molecular Determinants of Membrane Binding by the HIV-1 Matrix Protein. J Mol Biol [PubMed]
PubMed ID: 26992353Liang, T., L. Xie, C. Chao, Y. Kang, X. Lin, T. Qin, H. Xie, Z.P. Feng, and H.Y. Gaisano. (2014). Phosphatidylinositol 4,5-biphosphate (PIP2) Modulates Interaction of Syntaxin-1Awith Sulfonylurea Receptor 1 to Regulate Pancreatic Beta-Cell ATP-Sensitive Potassium Channels. J Biol Chem [PubMed]
PubMed ID: 24429282PtdIns4P synthesis by PI4KIIIalpha at the plasma membrane and its impact on plasma membrane identity. Nakatsu, F., J.M. Baskin, J. Chung, L.B. Tanner, G. Shui, S.Y. Lee, M. Pirruccello, M. Hao, N.T. Ingolia, M.R. Wenk, and P. De Camilli. (2012). J Cell Biol 199:1003-16.[PubMed]
PubMed ID: 23229899Wang, K., Z. Yang, U. Nair, K. Mao, X. Liu, and D.J. Klionsky. (2012). Phosphatatidylinositol 4-kinases are required for autophagic membrane trafficking. J Biol Chem [PubMed]
PubMed ID: 22977244Khelashvili, G., A. Galli, and H. Weinstein. (2012). Phosphatidylinositol 4,5-Biphosphate (PIP(2)) Lipids Regulate the Phosphorylation of Syntaxin N-Terminus by Modulating Both Its Position and Local Structure. Biochemistry 51:7685-98. [PubMed]
PubMed ID: 22950482Hansen, S.B., X. Tao, and R. Mackinnon. (2011). Structural basis of PIP(2) activation of the classical inward rectifier K(+) channel Kir2.2. Nature[PubMed]
PubMed ID: 21874019Hammond, G.R., M.J. Fischer, K.E. Anderson, J. Holdich, A. Koteci, T. Balla, and R.F. Irvine. (2012). PI4P and PI(4,5)P2 are essential but independent lipid determinants of membrane identity. Science 337:727-30. [PubMed]
PubMed ID: 22722250- Certificate of Analysis (Lot No. 850185P-100UG-A-017 and 5621PDA017)
- Certificate of Analysis (Lot No. 850185P-500UG-A-017 and 5621PFA017)
- Certificate of Analysis (Lot No. 850185P-500UG-A-018 and 5621PFA018)
- Certificate of Analysis (Lot No. 850185P-25MG-A-018 and 5621PJA018)
- Certificate of Analysis (Lot No. 850185P-100UG-B-018 and 5621PDB018)
- Certificate of Analysis (Lot No. 850185P-500UG-C-018 and 5621PFC018)
- Certificate of Analysis (Lot No. 850185P-500UG-B-018 and 5621PFB018)
- Certificate of Analysis (Lot No. 850185P-500UG-A-019 and 5621PFA019)
- Certificate of Analysis (Lot No. 850185P-100UG-A-018 and 5621PDA018)
- Certificate of Analysis (Lot No. 850185P-500UG-A-020 and 5621PFA020)
- Certificate of Analysis (Lot No. 850185P-500UG-A-021 and 5621PFA021)
- Certificate of Analysis (Lot No. 850185P-500UG-A-022 and 5621PFA022)
- Certificate of Analysis (Lot No. 850185P-100UG-A-021 and 5621PDA021)
- Certificate of Analysis (Lot No. 850185P-500UG-B-021 and 5621PFB021)
- Certificate of Analysis (Lot No. 850185P-100UG-B-022 and 5621PDB022)
- Certificate of Analysis (Lot No. 850185P-500UG-B-022 and 5621PFB022)