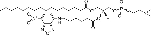
810130 | 16:0-06:0 NBD PC
1-palmitoyl-2-{6-[(7-nitro-2-1,3-benzoxadiazol-4-yl)amino]hexanoyl}-sn-glycero-3-phosphocholine

Please Confirm Your Location
Effective March 1, 2018, Merck KGaA, Darmstadt, Germany* is the exclusive Distributor of Avanti Research. Research Products for all countries except the United States. For product pricing and order placement, please click on the appropriate Location Box below.
For customers located outside the United States, you will be redirected to www.sigmaaldrich.com/avanti prior to completing your purchase. Thank you for your continued business and support of Avanti Research!
*The life science business of Merck KGaA, Darmstadt, Germany operates as MilliporeSigma in the U.S. and Canada
16:0-06:0 NBD PC
1-palmitoyl-2-{6-[(7-nitro-2-1,3-benzoxadiazol-4-yl)amino]hexanoyl}-sn-glycero-3-phosphocholine
16:0-06:0 NBD PC, also known as 1-palmitoyl-2-{6-[(7-nitro-2-1,3-benzoxadiazol-4-yl)amino]hexanoyl}-sn-glycero-3-phosphocholine, is a specialized phospholipid tagged with a nitrobenzoxadiazole (NBD) fluorophore, acting as a potential fluorescent probe or fluorescent analogue of phosphatidylcholine. Derivatives serve as fluorescent analogs of native lipids in various processes.
Applications
This fluorescent lipid is a crucial component for quantifying soluble and membrane-bound phospholipase A2 (PLA2) activity, as it provides precise and reliable results. It is extensively used in NBD-phospholipid translocation assays to study the movement of phospholipids across membranes, which is vital for understanding membrane dynamics.
Additionally, 16:0-06:0 NBD PC serves as an ideal molecular fluorescent marker to label lipids during friction tests. It enables detailed studies of lipid behavior under various conditions. It is also a helpful substrate for enzyme substrate specificity determination, enhancing our understanding of enzyme-lipid interactions. Furthermore, this versatile phospholipid facilitates studies in membrane biophysics and cell biology, making it essential for preparing small unilamellar vesicles.
Packaging
Avanti Research offers 16:0-06:0 NBD PC in powder and chloroform forms in 1 mg and 5 mg packaging to suit diverse research needs. The packaging is specially developed for optimal preservation.
Researchers choose 16:0-06:0 NBD PC from Avanti Research because of its high fluorescence intensity and stability, providing reliable and reproducible results.
CAS Registry Number is a Registered Trademark of the American Chemical Society
Piecyk K, Pietrow P, Arnold T, Worch R, Korneeva NL, Jankowska-Anyszka M. Effect of HIV-1 TAT Peptide Fusion on 5' mRNA Cap Analogs Cell Membrane Permeability and Translation Inhibition. Bioconjug Chem. 2020 Apr 15;31(4):1156-1166. doi: 10.1021/acs.bioconjchem.0c00080. Epub 2020 Mar 31. PMID: 32227927.
PubMed ID: 32227927Fernandes ACS, Soares DC, Neves RFC, Koeller CM, Heise N, Adade CM, Frases S, Meyer-Fernandes JR, Saraiva EM, Souto-Padrón T. Endocytosis and Exocytosis in Leishmania amazonensis Are Modulated by Bromoenol Lactone. Front Cell Infect Microbiol. 2020 Feb 7;10:39. doi: 10.3389/fcimb.2020.00039. PMID: 32117812; PMCID: PMC7020749.
PubMed ID: 32117812Bott E, López MG, Lammel EM, Carfagna IE, Durante de Isola EL, Ruybal P, Taboga O, Gimenez G, Belaunzarán ML. Cellular localization, cloning and expression of Leishmania braziliensis Phospholipase A1. Microb Pathog. 2020 Jan 28;141:104010. doi: 10.1016/j.micpath.2020.104010. Epub ahead of print. PMID: 32004623.
PubMed ID: 32004623Baumann KN, Piantanida L, García-Nafría J, Sobota D, Voïtchovsky K, Knowles TPJ, Hernández-Ainsa S. Coating and Stabilization of Liposomes by Clathrin-Inspired DNA Self-Assembly. ACS Nano. 2020 Feb 5:10.1021/acsnano.9b09453. doi: 10.1021/acsnano.9b09453. Epub ahead of print. PMID: 31976654.
PubMed ID: 31976654Nakahara H, Minamisono M, Shibata O. Lateral interaction of cholesterol with a semifluorinated amphiphile at the air-water interface. Colloids Surf B Biointerfaces. 2019 Sep 1;181:1035-1040. doi: 10.1016/j.colsurfb.2019.06.072. Epub 2019 Jul 2.
PubMed ID: 31382331Baxter A, Wittenberg NJ. Excitation of Fluorescent Lipid Probes Accelerates Supported Lipid Bilayer Formation via Photosensitized Lipid Oxidation. Langmuir. 2019 Aug 14. doi: 10.1021/acs.langmuir.9b01535. [Epub ahead of print]
PubMed ID: 31411482Hiromichi Nakahara, Muneaki Minamisono, Osamu Shibata. Lateral interaction of cholesterol with a semifluorinated amphiphile at the air–water interface. Colloids and Surfaces B: Biointerfaces. 2019 September 1;181:1035-1040. doi: 10.1016/j.colsurfb.2019.06.072
Yuan Zou, Runting Pan, Yingli Liu, Xiao Liu, Xiaowei Chen, Jing Wang, Zhili Wan, Jian Guo, Xiaoquan Yang. Effects of γ-zein peptides on lipid membrane organization: Quartz crystal microbalance with dissipation and Langmuir monolayer studies. Colloids and Surfaces A: Physiochemical and Engineering Aspects. 2019 August 5;574:86-93. doi: 10.1016/j.colsurfa.2019.04.074
Naik J, Hau CM, Ten Bloemendaal L, Mok KS, Hajji N, Wehman AM, Meisner S, Muncan V, Paauw NJ, de Vries HE, Nieuwland R, Paulusma CC, Bosma PJ. The P4-ATPase ATP9A is a novel determinant of exosome release. PLoS One. 2019 Apr 4;14(4):e0213069. doi: 10.1371/journal.pone.0213069. eCollection 2019.
PubMed ID: 30947313Rodrigues ARO, Matos JOG, Nova Dias AM, Almeida BG, Pires A, Pereira AM, Araújo JP, Queiroz MRP, Castanheira EMS, Coutinho PJG. Development of Multifunctional Liposomes Containing Magnetic/Plasmonic MnFe₂O₄/Au Core/Shell Nanoparticles. Pharmaceutics. 2018 Dec 31;11(1). pii: E10. doi: 10.3390/pharmaceutics11010010.
PubMed ID: 30602683Godoy-Gallardo M, Labay C, Hosta-Rigau L. Tyrosinase-Loaded Multicompartment Microreactor toward Melanoma Depletion. ACS Appl Mater Interfaces. 2019 Feb 13;11(6):5862-5876. doi: 10.1021/acsami.8b20275. Epub 2019 Jan 15.
PubMed ID: 30605301Ohmann A, Li CY, Maffeo C, Al Nahas K, Baumann KN, Göpfrich K, Yoo J, Keyser UF, Aksimentiev A. A synthetic enzyme built from DNA flips 107 lipids per second in biological membranes. Nat Commun. 2018 Jun 21;9(1):2426. doi: 10.1038/s41467-018-04821-5.
PubMed ID: 29930243Amirkavei, M. and P.K. Kinnunen. (2016). Interactions and dynamics of two extended conformation adapting phosphatidylcholines in model biomembranes. Biochim Biophys Acta 1858:264-73.
PubMed ID: 26656184McIntosh, A.L., Storey, S.M., Atshaves, B.P. (2009) Intracellular lipid droplets contain dynamic pools of sphingomyelin: ADRP binds phospholipids with high affinity. Lipids. 45:465-77.
PubMed ID: 20473576Florence Blachon, Frédéric Harb, Bogdan Munteanu, Agnès Piednoir, Rémy Fulcrand, Thierry Charitat, Giovanna Fragneto, Olivier Pierre-Louis, Bernard Tinland, and Jean-Paul Rieu. Nanoroughness Strongly Impacts Lipid Mobility in Supported Membranes. Langmuir, Article ASAP
PubMed ID: 28219008- Certificate of Analysis (Lot No. 810130C-1MG-A-060 and 5324CGA060)
- Certificate of Analysis (Lot No. 810130C-5MG-A-060 and 5324CHA060)
- Certificate of Analysis (Lot No. 810130P-1MG-A-060 and 5324PGA060)
- Certificate of Analysis (Lot No. 810130P-5MG-A-060 and 5324PHA060)
- Certificate of Analysis (Lot No. 810130P-5MG-A-061 and 5324PHA061)
- Certificate of Analysis (Lot No. 810130C-5MG-C-060 and 5324CHC060)
- Certificate of Analysis (Lot No. 810130P-5MG-B-061 and 5324PHB061)
- Certificate of Analysis (Lot No. 810130P-1MG-A-061 and 5324PGA061)
- Certificate of Analysis (Lot No. 810130C-1MG-D-060 and 5324CGD060)
- Certificate of Analysis (Lot No. 810130C-5MG-A-061 and 5324CHA061)
- Certificate of Analysis (Lot No. 810130C-1MG-B-060 and 5324CGB060)
- Certificate of Analysis (Lot No. 810130P-5MG-C-061 and 5324PHC061)
- Certificate of Analysis (Lot No. 810130C-1MG-A-061 and 5324CGA061)
- Certificate of Analysis (Lot No. 810130P-1MG-B-061 and 5324PGB061)
- Certificate of Analysis (Lot No. 810130P-1MG-A-062 and 5324PGA062)
- Certificate of Analysis (Lot No. 810130P-5MG-A-062 and 5324PHA062)
- Certificate of Analysis (Lot No. 810130P-5MG-D-061 and 5324PHD061)
- Certificate of Analysis (Lot No. 810130P-5MG-A-062 and 5324PHA062)
- Certificate of Analysis (Lot No. 810130P-1MG-A-062 and 5324PGA062)
- Certificate of Analysis (Lot No. 810130P-5MG-B-062 and 5324PHB062)
- Certificate of Analysis (Lot No. 810130C-5MG-A-062 and 5324CHA062)
- Certificate of Analysis (Lot No. 810130P-5MG-A-063 and 5324PHA063)
- Certificate of Analysis (Lot No. 810130P-1MG-B-063 and 5324PGB063)
- Certificate of Analysis (Lot No. 810130P-5MG-B-063 and 5324PHB063)