699800 | MPLA (PHAD™)
Monophosphoryl Lipid A (Synthetic) (PHAD™)

Please Confirm Your Location
Effective March 1, 2018, Merck KGaA, Darmstadt, Germany* is the exclusive Distributor of Avanti Research. Research Products for all countries except the United States. For product pricing and order placement, please click on the appropriate Location Box below.
For customers located outside the United States, you will be redirected to www.sigmaaldrich.com/avanti prior to completing your purchase. Thank you for your continued business and support of Avanti Research!
*The life science business of Merck KGaA, Darmstadt, Germany operates as MilliporeSigma in the U.S. and Canada
MPLA (PHAD™)
Monophosphoryl Lipid A (Synthetic) (PHAD™)
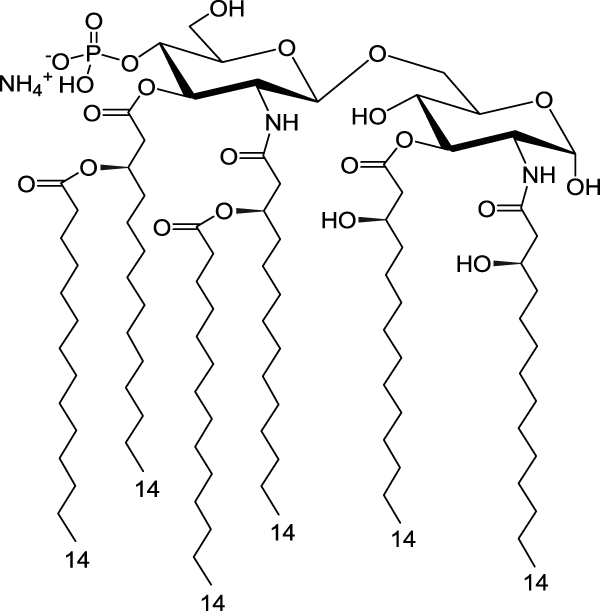
PHAD™ is a synthetic structural analog of monophosphoryl Lipid A (MPLA) that has been shown to boost the immune system through activation of the toll-like receptor 4 (TLR4) resulting in production of proinflammatory cytokines and antigen-specific effector CD4+ and memory CD8+ T cells. Also referred to as GLA, this adjuvant has been administered to well over 1000 human subjects without serious adverse events. PHAD™ is available in bulk quantities for vaccine development and commercial manufacturing.
Stimulatory effect of PHAD™, 3D-PHAD™, and 3D(6-acyl)-PHAD™ on macrophages. Macrophage cell line J774 cells were cultured with Avanti PHAD™, 3D-PHAD™, or 3D(6-acyl)-PHAD™ for 24hrs. IL-12 levels in supernatants were measured by sandwich ELISA.
Adjuvant Activity

PHAD™, 3D-PHAD™, and 3D(6A)-PHAD™ have been tested extensively in animals using a variety of antigens. In all cases, these adjuvants exhibit a similar activity and safety profile to bacterially-derived MPL. The data above demonstrate the equivalency of the three synthetic adjuvants to the bacterially-derived MPL when presented in a liposomal carrier system (DMPC/DMPG/Cholesterol).
CAS Registry Number is a Registered Trademark of the American Chemical Society
phosphorylated hexaacyl disaccharide
Glycopyranoside Lipid A (GLA)
770030
Fisher BS, Dambrauskas N, Trakhimets O, Andrade DV, Smedley J, Sodora DL, Sather DN. Oral Immunization with HIV-1 Envelope SOSIP trimers elicits systemic immune responses and cross-reactive anti-V1V2 antibodies in non-human primates. PLoS One. 2020 May 29;15(5):e0233577. doi: 10.1371/journal.pone.0233577. PMID: 32470041; PMCID: PMC7259690.
PubMed ID: 32470041Richard K, Perkins DJ, Harberts EM, Song Y, Gopalakrishnan A, Shirey KA, Lai W, Vlk A, Mahurkar A, Nallar S, Hawkins LD, Ernst RK, Vogel SN. Dissociation of TRIF bias and adjuvanticity. Vaccine. 2020 Jun 2;38(27):4298-4308. doi: 10.1016/j.vaccine.2020.04.042. Epub 2020 May 7. PMID: 32389496; PMCID: PMC7302928.
PubMed ID: 32389496Boudousquié C, Boand V, Lingre E, Dutoit L, Balint K, Danilo M, Harari A, Gannon PO, Kandalaft LE. Development and Optimization of a GMP-Compliant Manufacturing Process for a Personalized Tumor Lysate Dendritic Cell Vaccine. Vaccines (Basel). 2020 Jan 14;8(1):E25. doi: 10.3390/vaccines8010025. PMID: 31947581.
PubMed ID: 31947581Verma A, Schmidt BA, Elizaldi SR, Nguyen NK, Walter KA, Beck Z, Trinh HV, Dinsarapu AR, Lakshmanappa YS, Rane NN, Matyas GR, Rao M, Shen X, Tomaras GD, LaBranche CC, Reimann KA, Foehl DH, Gach JS, Forthal DN, Kozlowski PA, Amara RR, Iyer SS. Impact of Th1 CD4 TFH skewing on Antibody Responses to an HIV-1 Vaccine in Rhesus Macaques. J Virol. 2019 Dec 11;JVI.01737-19. doi: 10.1128/JVI.01737-19. [Epub ahead of print]. PMID: 31827000.
PubMed ID: 31827000Wang L, Wang Z, Qin Y, Liang W. Delivered antigen peptides to resident CD8α+ DCs in lymph node by micelle-based vaccine augment antigen-specific CD8+ effector T cell response. Eur J Pharm Biopharm. 2020 Feb;147:76-86. doi: 10.1016/j.ejpb.2019.12.013. Epub 2019 Dec 28. PMID: 31887349.
PubMed ID: 31887349Hernandez A, Luan L, Stothers CL, Patil NK, Fults JB, Fensterheim BA, Guo Y, Wang J, Sherwood ER, Bohannon JK. Phosphorylated Hexa-Acyl Disaccharides Augment Host Resistance Against Common Nosocomial Pathogens. Crit Care Med. 2019 Nov;47(11):e930-e938. doi: 10.1097/CCM.0000000000003967.
PubMed ID: 31567352Maynard S, Marshall JD, MacGill RS, Yu L, Cann JA, Cheng LI, McCarthy MP, Cayatte C, Robbins SH. Vaccination with synthetic long peptide formulated with CpG in an oil-in-water emulsion induces robust E7-specific CD8 T cell responses and TC-1 tumor eradication. BMC Cancer. 2019 Jun 6;19(1):540. doi: 10.1186/s12885-019-5725-y.
PubMed ID: 31170937Belnoue E, Mayol JF, Carboni S, Di Berardino Besson W, Dupuychaffray E, Nelde A, Stevanovic S, Santiago-Raber ML, Walker PR, Derouazi M. Targeting self and neo-epitopes with a modular self-adjuvanting cancer vaccine. JCI Insight. 2019 Apr 23;5. pii: 127305. doi: 10.1172/jci.insight.127305.
PubMed ID: 31013258Zhao Z, Hu Y, Harmon T, Pentel P, Ehrich M, Zhang C. Effect of Adjuvant Release Rate on the Immunogenicity of Nanoparticle-Based Vaccines: A Case Study with a Nanoparticle-Based Nicotine Vaccine. Mol Pharm. 2019 Jun 3;16(6):2766-2775. doi: 10.1021/acs.molpharmaceut.9b00279. Epub 2019 May 22.
PubMed ID: 31075204Liang T, Leung LM, Opene B, Fondrie WE, Lee YI, Chandler CE, Yoon SH, Doi Y, Ernst RK, Goodlett DR. Rapid microbial identification and antibiotic resistance detection by mass spectrometric analysis of membrane lipids. Anal Chem. 2018 Dec 20. doi: 10.1021/acs.analchem.8b02611. [Epub ahead of print]
PubMed ID: 30571097Valencia S, Gill RB, Dowdell KC, Wang Y, Hornung R, Bowman JJ, Lacayo JC, Cohen JI. Comparison of vaccination with rhesus CMV (RhCMV) soluble gB with a RhCMV replication-defective virus deleted for MHC class I immune evasion genes in a RhCMV challenge model. Vaccine. 2019 Jan 7;37(2):333-342. doi: 10.1016/j.vaccine.2018.08.043. Epub 2018 Dec 3.
PubMed ID: 30522906Jahan ST, Sadat SMA, Yarahmadi M, Haddadi A. Potentiating Antigen Specific Immune Response by Targeted Delivery of the PLGA-Based Model Cancer Vaccine. Mol Pharm. 2019 Feb 4;16(2):498-509. doi: 10.1021/acs.molpharmaceut.8b00700. Epub 2019 Jan 23.
PubMed ID: 30477303Liang T, Leung LM, Opene B, Fondrie WE, Lee YI, Chandler CE, Yoon SH, Doi Y, Ernst RK, Goodlett DR. Rapid microbial identification and antibiotic resistance detection by mass spectrometric analysis of membrane lipids. Anal Chem. 2018 Dec 20. doi: 10.1021/acs.analchem.8b02611. [Epub ahead of print]
PubMed ID: 30571097Lousada-Dietrich, S., Jogdand, P.S., Jepsen, S., Pinto, V.V., Ditlev, S.B., Christiansen, M., Larsen, S.O., Fox, C.B., Raman, V.S., Howard, R.F., Vedvick, T.S., Ireton, G., Carter, D., Reed, S.G., Theisen, M. (2011) A synthetic TLR4 agonist formulated in an emulsion enhances humoral and Type 1 cellular immune responses against GMZ2 - A GLURP-MSP3 fusion protein malaria vaccine candidate. Vaccine.
PubMed ID: 21349366Coler, R.N., Bertholet, S., Moutaftsi, M., Guderian, J.A., Windish, H.P., Baldwin, S.L., Laughlin, E.M., Duthie, M.S., Fox, C.B., Carter, D., Friede, M., Vedvick, T.S., Reed, S.G. (2011) Development and characterization of synthetic glucopyranosyl lipid adjuvant system as a vaccine adjuvant. PLoS One. 6:e16333.
PubMed ID: 21298114Anderson, R.C., Fox, C.B., Dutill, T.S., Shaverdian, N., Evers, T.L., Poshusta, G.R., Chesko, J., Coler, R.N., Friede, M., Reed, S.G., Vedvick, T.S. (2010) Physicochemical characterization and biological activity of synthetic TLR4 agonist formulations. Colloids Surf B Biointerfaces. 75:123-32.
PubMed ID: 19748238Coler, R.N., S.L. Baldwin, N. Shaverdian, S. Bertholet, S.J. Reed, V.S. Raman, X. Lu, J. DeVos, K. Hancock, J.M. Katz, T.S. Vedvick, M.S. Duthie, C.H. Clegg, N. Van Hoeven, and S.G. Reed. (2010). A synthetic adjuvant to enhance and expand immune responses to influenza vaccines. PLoS One 5:e13677.
PubMed ID: 21060869Fox, C.B., Friede, M., Reed, S.G., Ireton, G.C. (2010) Synthetic and natural TLR4 agonists as safe and effective vaccine adjuvants. Subcell Biochem. 53:303-21
PubMed ID: 20593273- Certificate of Analysis (Lot No. 699800P-1MG-A-029 and 5086PGA029)
- Certificate of Analysis (Lot No. 699800P-5MG-A-029 and 5086PHA029)
- Certificate of Analysis (Lot No. 699800P-5MG-B-029 and 5086PHB029)
- Certificate of Analysis (Lot No. 699800P-5MG-B-029 and 5086PHB029)
- Certificate of Analysis (Lot No. 699800P-25MG-A-029 and 5086PJA029)
- Certificate of Analysis (Lot No. 699800P-1MG-C-029 and 5086PGC029)
- Certificate of Analysis (Lot No. 699800P-5MG-C-029 and 5086PHC029)
- Certificate of Analysis (Lot No. 699800P-25MG-B-029 and 5086PJB029)
- Certificate of Analysis (Lot No. 699800P-25MG-C-029 and 5086PJC029)
- Certificate of Analysis (Lot No. 699800P-1MG-D-029 and 5086PGD029)
- Certificate of Analysis (Lot No. 699800P-5MG-D-029 and 5086PHD029)
- Certificate of Analysis (Lot No. 699800P-CONF-A-029 and 5086PWA029)
- Certificate of Analysis (Lot No. 699800P-CONF-B-029 and 5086PWB029)
- Certificate of Analysis (Lot No. 699800P-5MG-E-029 and 5086PHE029)
- Certificate of Analysis (Lot No. 699800P-1MG-E-029 and 5086PGE029)
- Certificate of Analysis (Lot No. 699800P-CONF-C-029 and 5086PWC029)
- Certificate of Analysis (Lot No. 699800P-1MG-B-029 and 5086PGB029)
- Certificate of Analysis (Lot No. 699800P-1MG-G-029 and 5086PGG029)
- Certificate of Analysis (Lot No. 699800P-1MG-F-029 and 5086PGF029)
- Certificate of Analysis (Lot No. 699800P-1MG-H-029 and 5086PGH029)
- Certificate of Analysis (Lot No. 699800P-5MG-G-029 and 5086PHG029)
- Certificate of Analysis (Lot No. 699800P-1MG-A-031 and 5086PGA031)
- Certificate of Analysis (Lot No. 699800P-5MG-A-033 and 5086PHA033)
- Certificate of Analysis (Lot No. 699800P-5MG-A-032 and 5086PHA032)
- Certificate of Analysis (Lot No. 699800P-CONF-A-033 and 5086PWA033)
- Certificate of Analysis (Lot No. 699800P-1MG-B-033 and 5086PGB033)
- Certificate of Analysis (Lot No. 699800P-5MG-B-033 and 5086PHB033)
- Certificate of Analysis (Lot No. 699800P-CONF-B-033 and 5086PWB033)
- Certificate of Analysis (Lot No. 699800P-CONF-C-033 and 5086PWC033)
- Certificate of Analysis (Lot No. 699800P-1MG-B-033 and 5086PGB033.PH)
- Certificate of Analysis (Lot No. 699800P-5MG-C-033 and 5086PHC033)
- Certificate of Analysis (Lot No. 699800P-1MG-B-031 and 5086PGB031)
- Certificate of Analysis (Lot No. 699800P-1MG-G-033 and 5086PGG033)
- Certificate of Analysis (Lot No. 699800P-5MG-G-033 and 5086PHG033)
- Certificate of Analysis (Lot No. 699800P-5MG-D-033 and 5086PHD033)
- Certificate of Analysis (Lot No. 699800P-5MG-A-031 and 5086PHA031)
- Certificate of Analysis (Lot No. 699800P-5MG-E-033 and 5086PHE033)
- Certificate of Analysis (Lot No. 699800P-5MG-F-033 and 5086PHF033)